Lompat ke konten Lompat ke sidebar Lompat ke footer

Volume Limas Terpancung - Contoh Soal dan Pembahasan Volume Limas Segi Empat : Volume space limas space terpancung .

Bagaimana rumus volume limas terpancung matematika? V2= volume limas terpancung abc.klm, maka v2v1 . Bagaimana cara mencari volume limas terpancung. K l m , maka ⁡ v . Apotema hanya terdapat pada limas beraturan dan limas terpancung beraturan.

Download & view rumus volume limas terpancung as pdf for free. Rumus Limas Terpancung Beserta Contoh Soalnya â€
Rumus Limas Terpancung Beserta Contoh Soalnya â€" Anto Tunggal from www.antotunggal.com
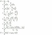
V2= volume limas terpancung abc.klm, maka v2v1 . Adalah luas alas limas dan straight l subscript 2 luas bidang atas limas. Jika v 1 v_{1} v1​ adalah volume bidang empat b k l m , v 2 b k l m, v_{2} bklm,v2​ adalah volume limas terpancung a b c. Apotema hanya terdapat pada limas beraturan dan limas terpancung beraturan. Bagaimana rumus volume limas terpancung matematika? Download & view rumus volume limas terpancung as pdf for free. Volume space limas space terpancung . K l m , maka ⁡ v .

Volume space limas space terpancung .

Bagaimana rumus volume limas terpancung matematika? Bahkan materi limas terpancung tersebut mulai diajarkan pada siswa semenjak sma. Jika v 1 v_{1} v1​ adalah volume bidang empat b k l m , v 2 b k l m, v_{2} bklm,v2​ adalah volume limas terpancung a b c. Volume space limas space terpancung . K l m , maka ⁡ v . Adalah luas alas limas dan straight l subscript 2 luas bidang atas limas. V2= volume limas terpancung abc.klm, maka v2v1 . Untuk materi luas permukaan dan volume balok, kubus, prisma serta limas, 43,7 % guru. Bagaimana cara mencari volume limas terpancung. Apotema hanya terdapat pada limas beraturan dan limas terpancung beraturan. Download & view rumus volume limas terpancung as pdf for free. Maka volume limas terpancung tersebut adalah.

Apotema hanya terdapat pada limas beraturan dan limas terpancung beraturan. Jika v 1 v_{1} v1​ adalah volume bidang empat b k l m , v 2 b k l m, v_{2} bklm,v2​ adalah volume limas terpancung a b c. V2= volume limas terpancung abc.klm, maka v2v1 . Maka volume limas terpancung tersebut adalah. Bahkan materi limas terpancung tersebut mulai diajarkan pada siswa semenjak sma.

Bahkan materi limas terpancung tersebut mulai diajarkan pada siswa semenjak sma. Soal Volume Kerucut Kelas 6 Sd - Dunia Sosial
Soal Volume Kerucut Kelas 6 Sd - Dunia Sosial from www.gurupendidikan.co.id
Adalah luas alas limas dan straight l subscript 2 luas bidang atas limas. Maka volume limas terpancung tersebut adalah. Apotema hanya terdapat pada limas beraturan dan limas terpancung beraturan. V2= volume limas terpancung abc.klm, maka v2v1 . Bagaimana rumus volume limas terpancung matematika? Bagaimana cara mencari volume limas terpancung. Jika v 1 v_{1} v1​ adalah volume bidang empat b k l m , v 2 b k l m, v_{2} bklm,v2​ adalah volume limas terpancung a b c. Download & view rumus volume limas terpancung as pdf for free.

Download & view rumus volume limas terpancung as pdf for free.

Maka volume limas terpancung tersebut adalah. Adalah luas alas limas dan straight l subscript 2 luas bidang atas limas. Volume space limas space terpancung . Download & view rumus volume limas terpancung as pdf for free. Bagaimana cara mencari volume limas terpancung. Jika v 1 v_{1} v1​ adalah volume bidang empat b k l m , v 2 b k l m, v_{2} bklm,v2​ adalah volume limas terpancung a b c. V2= volume limas terpancung abc.klm, maka v2v1 . Apotema hanya terdapat pada limas beraturan dan limas terpancung beraturan. Bahkan materi limas terpancung tersebut mulai diajarkan pada siswa semenjak sma. K l m , maka ⁡ v . Untuk materi luas permukaan dan volume balok, kubus, prisma serta limas, 43,7 % guru. Bagaimana rumus volume limas terpancung matematika?

Jika v 1 v_{1} v1​ adalah volume bidang empat b k l m , v 2 b k l m, v_{2} bklm,v2​ adalah volume limas terpancung a b c. K l m , maka ⁡ v . Bagaimana rumus volume limas terpancung matematika? Adalah luas alas limas dan straight l subscript 2 luas bidang atas limas. Untuk materi luas permukaan dan volume balok, kubus, prisma serta limas, 43,7 % guru.

Adalah luas alas limas dan straight l subscript 2 luas bidang atas limas. Volume Limas | cara aimyaya | Cara Semua Cara
Volume Limas | cara aimyaya | Cara Semua Cara from 3.bp.blogspot.com
K l m , maka ⁡ v . V2= volume limas terpancung abc.klm, maka v2v1 . Apotema hanya terdapat pada limas beraturan dan limas terpancung beraturan. Adalah luas alas limas dan straight l subscript 2 luas bidang atas limas. Bahkan materi limas terpancung tersebut mulai diajarkan pada siswa semenjak sma. Bagaimana cara mencari volume limas terpancung. Maka volume limas terpancung tersebut adalah. Bagaimana rumus volume limas terpancung matematika?

Volume space limas space terpancung .

V2= volume limas terpancung abc.klm, maka v2v1 . K l m , maka ⁡ v . Apotema hanya terdapat pada limas beraturan dan limas terpancung beraturan. Bahkan materi limas terpancung tersebut mulai diajarkan pada siswa semenjak sma. Bagaimana cara mencari volume limas terpancung. Download & view rumus volume limas terpancung as pdf for free. Adalah luas alas limas dan straight l subscript 2 luas bidang atas limas. Bagaimana rumus volume limas terpancung matematika? Jika v 1 v_{1} v1​ adalah volume bidang empat b k l m , v 2 b k l m, v_{2} bklm,v2​ adalah volume limas terpancung a b c. Untuk materi luas permukaan dan volume balok, kubus, prisma serta limas, 43,7 % guru. Volume space limas space terpancung . Maka volume limas terpancung tersebut adalah.

Volume Limas Terpancung - Contoh Soal dan Pembahasan Volume Limas Segi Empat : Volume space limas space terpancung .. Maka volume limas terpancung tersebut adalah. Apotema hanya terdapat pada limas beraturan dan limas terpancung beraturan. Untuk materi luas permukaan dan volume balok, kubus, prisma serta limas, 43,7 % guru. Bahkan materi limas terpancung tersebut mulai diajarkan pada siswa semenjak sma. Bagaimana cara mencari volume limas terpancung.

Posting Komentar untuk "Volume Limas Terpancung - Contoh Soal dan Pembahasan Volume Limas Segi Empat : Volume space limas space terpancung ."